Fluoride Exposure In-Utero Linked To Lower IQ In Kids, New Study Says
By: Fluoride Action Network
In a recent study published on September 19, 2017, in the journal Environmental Health Perspectives, researchers have found a link between fluoride in the urine of pregnant women and lower measures of intelligence in children.
The Study:
M, D, Hu H, et al. 2017. Prenatal Fluoride Exposure and Cognitive Outcomes in Children at 4 and 6–12 Years of Age in Mexico.
Excerpt from study: In this study, higher levels of maternal urinary fluoride during pregnancy (a proxy for prenatal fluoride exposure) that are in the range of levels of exposure in other general population samples of pregnant women as well as nonpregnant adults were associated with lower scores on tests of cognitive function in the offspring at 4 and 6–12 y old.
Comment from FAN:
The new study found a very large effect. An increase in urine fluoride of 1 mg/L was associated with a drop in IQ of 5 to 6 points. To put this into perspective with the fluoride levels ingested by the Mexican mothers and the levels ingested in fluoridated parts of the USA, the average fluoride intake in the Mexican mothers was about the same as that in women in the USA. It was not substantially higher. The range of fluoride levels in Mexico also corresponded closely to the range found in most of the USA. The higher levels were similar to what is found in areas in the USA with fluoridated water, and the lower levels were similar to what is found in most unfluoridated parts of the USA.
Most of the Mexican women had urine fluoride between 0.5 and 1.5 mg/L. Studies have found that adults in the USA have between about 0.6 and 1.5 mg/L, almost exactly the same range. From the low end of that range to the high end is a difference of 1 mg/L which is what caused the 5 to 6 IQ point difference in the children of the study mothers.
This new study had fluoride exposures almost the same as what is found in fluoridating countries like the USA.
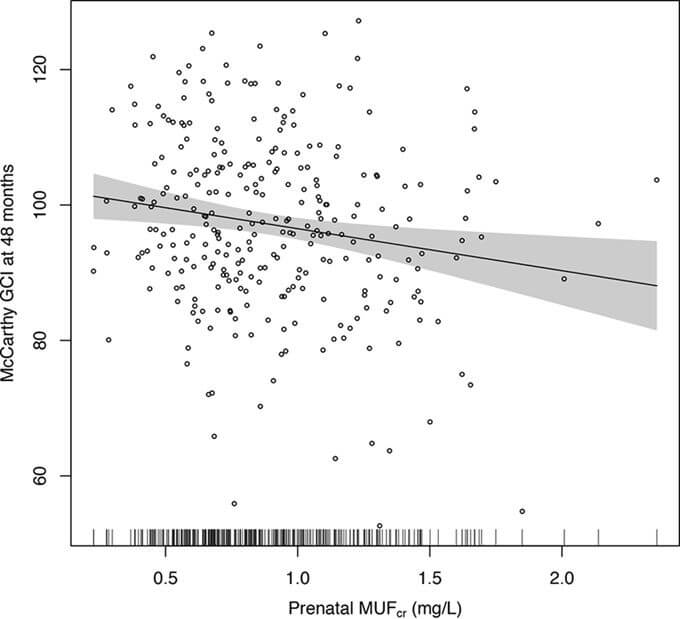
The paper shows the relationship between urine fluoride and IQ in the graph (Figure 2) reproduced here:
![]()
The data in this graph has been adjusted for numerous potential confounding factors like sex, birth weight, gestational age, and whether the mother smoked. Other potential confounders had already been ruled out, including lead, mercury, alcohol consumption during pregnancy, mother’s education, mother’s IQ, and quality of home environment.
FAN has redrawn this graph in simplified form to better illustrate the relationship found between mothers’ urine fluoride and children’s IQ.
![]()
This simplified version of the graph highlights the range of urine fluoride levels common in women in the USA with the blue text and bracket. When comparing mothers at the low end to those at the high end of this range, the subsequent loss of IQ in their children was 6 points. The light red shaded zone around the relationship line is the 95% Confidence Interval and demonstrates that the relationship is statistically significant across the entire range of fluoride exposures.
Important Points:
1. The loss of IQ is very large. The child of a mother who was drinking 1 ppm F water would be predicted to have 5 to 6 IQ points lower than if the mother had drunk water with close to zero F in it.
2. The study measured urine F, which is usually a better indicator of total F intake than is the concentration of F in drinking water. When drinking water is the dominant source of F,, urine F and water F are usually about the same. So, the average urine F level in this study of 0.9 mg/L implies that woman was ingesting the same amount of F as a woman drinking water with 0.9 mg/L F.
3. The range of F exposures in this study is likely to be very close to the range in a fluoridated area of the United States. The doses in this study are directly applicable to areas with artificial fluoridation. There is no need to extrapolate downward from effects at higher doses. The claims by fluoridation defenders that only studies using much higher doses than occur in areas with artificial fluoridation have shown a loss of IQ are squarely refuted by this study. Those false claims range from 11 times to 30 times higher, but are based on the logical fallacy that it is the highest dose amongst several studies that is relevant, when it is the LOWEST dose amongst studies that is most relevant.
4. This study was very carefully done, by a group of researchers who have produced over 50 papers on the cognitive health of children in relationship to environmental exposures. This was funded by the NIH and was a multi-million dollar study. This was the group’s first study of fluoride, their other studies mostly dealing with lead, mercury, and other environmental neurotoxicants.
5. This study controlled for a wide range of potential factors that might have skewed the results and produced a false effect. It was able to largely rule out confounding by these other factors. The factors ruled out included Pb, Hg, socio-economic status, smoking, alcohol use, and health problems during pregnancy.
6. This study offers confirmation of previous less sophisticated studies in Mexico, China and elsewhere. Some of those studies had higher F exposures than are commonly found in the USA, but many did not. The sole study in a country with artificial water fluoridation (as opposed to artificial salt fluoridation which was likely a main source of F in this new study) was by Broadbent in New Zealand. That found no association between water F and IQ and was trumpted by fluoridation defenders. But that study was shown to have almost no difference in TOTAL F intake between the children with fluoridated water and those with unfluoridated water, since most of the unfluoridated water children were given F supplements.
7. The study authors are cautious in their conclusions, as is common for scientists. But the implications of this study are enormous. A single study will never prove that F lowers IQ at doses found in fluoridated areas, but this is more than a red flag. It is a cannon shot across the bow of the 80 year old practice of artificial fluoridation
Quotes:
Newsweek, Children’s IQ Could Be Lowered By Mothers Drinking Tap Water While Pregnant, by Dana Dovey, September 19:
… “This is a very well-conducted study, and it raises serious concerns about fluoride supplementation in water,” says Dr. Leonardo Trasande, a pediatrician who studies potential links between environmental exposures and health problems at New York University Langone Health. (He was not involved in the new study.)
Trasande emphasizes that the levels of fluoride seen among the mothers in this study are slightly higher than what would be expected in U.S., based on current fluoride supplementation levels. However, he also explains that fluoride is known to disrupt thyroid function, which in turn is crucial for brain development.
“These new insights raise concerns that the prenatal period may be highly vulnerable and may require additional reconsideration,” Trasande says.
CTV (Canadian TV), Higher levels of fluoride in urine linked to lower IQ scores in children, by Angela Mulholland, September 19:
… Dr. Howard Hu, the study’s lead investigator, and a professor of environmental health, epidemiology and global health at [the University of Toronto’s] Dalla Lana School of Public Health, says the fact that the fluoride levels in the mothers was most predictive of the drop in test scores may be due to the fact that the brains of babies develop so rapidly while they are in utero.
“This is consistent with a growing appreciation in environmental health that the growing fetal nervous system is more sensitive to exposures than a developed nervous system,” he told CTVNews.ca by phone from Sydney.
Both the Montreal Gazette & the National Post ran the same article: Researchers urge caution over study linking fluoride exposure in pregnancy to lower IQs in children, by , September 21:
… [The article quotes the lead investigator of the study, Dr Howard Hu:] “This is a very rigorous epidemiology study. You just can’t deny it. It’s directly related to whether fluoride is a risk for the neurodevelopment of children. So, to say it has no relevance to the folks in the U.S. seems disingenuous.”
… “Why would anybody rate the equivalency or supremacy of reducing tooth decay by about one cavity a lifetime when what’s at stake is the mental development of your children? It’s utterly preposterous,” said Connett, executive director of the Fluoride Action Network.
Press Releases:
University of Toronto: Higher levels of fluoride in urine associated with lower intelligence in children. The study’s lead investigator, Dr Howard Hu, is Professor of Environmental Health, Epidemiology and Global Health at the University’s Dalla Lana School of Public Health. September 19.
… “Our study shows that the growing fetal nervous system may be adversely affected by higher levels of fluoride exposure,” said Dr. Howard Hu, the study’s principal investigator … “It also suggests that the pre-natal nervous system may be more sensitive to fluoride compared to that of school-aged children.”
American Dental Association Response to Study Regarding Fluoride Intake in Mexico. September 19.
The American Dental Association (ADA) examined a study in Environmental Health Perspectives based on fluoride intake in Mexico, and concludes the findings are not applicable to the U.S. The ADA continues to endorse fluoridation of public water as the most effective public health measure to prevent tooth decay…
Fluoride Free New Zealand issued this press release New US Government Study on Fluoride Damage to Brain on September 21.
[In response to the study] Fluoride Free New Zealand is calling on the 23 councils (out of the total of 67) that still fluoridate, to urgently implement a moratorium on fluoridation to protect the brains of children being born today in their community… This is particularly relevant to New Zealand where half of the population is currently subjected to fluoridation…
Articles:
9/19/17: CNN, Fluoride exposure in utero linked to lower IQ in kids, study says, by Nadia Kounang, Sept 19 updated on Sept 21.
9/19/17: CTV (Canadian TV), Higher levels of fluoride in urine linked to lower IQ scores in children, by Angela Mulholland, September 19.
9/19/17: Newsweek, Children’s IQ Could Be Lowered By Mothers Drinking Tap Water While Pregnant, by Dana Dovey, September 19.
9/20/17: Collective Evolution, Fluoride exposure in utero linked to lower IQ in kids, study says, by Kalee Brown, September 20.
9/20/17: Daily Mail (UK), Pregnant women exposed to flouride are more likely to have kids with low IQ, study shows, by Mia De Graaf, September 20.
9/20/17: Medical Xpress, Higher levels of fluoride in pregnant woman linked to lower intelligence in their children, by Nicole Bodnar, September 20.
9/20/17: Readers’ Digest, If you drink this type of water during pregnancy, your child’s IQ could suffer, by Sam Benson Smith, September 20.
9/21/17: Both the Montreal Gazette & the National Post ran the same article: Researchers urge caution over study linking fluoride exposure in pregnancy to lower IQs in children, by , September 20.
9/23/17: MintPress News, ADA Untroubled By Yet Another Study Pointing To Fluoride’s Negative Health Impacts, by Whitney Webb. September 23.
9/25/17: Medical News Today, High fluoride levels in pregnancy may lower offspring IQ, by Honor Whiteman, September 24.
9/26/17: Environmental Working Group, Fluoride Can Harm Children’s Intelligence, Mexican Study Finds, September 26.
10/3/17: The Lund Report, IQ Losses Continue to Haunt Fluoride, By Rick North, October 3.
10/4/17: Environmental Health Perspectives, Low Prenatal Exposures to Fluoride: Are There Neurotoxic Risks for Children?, October 4.
10/14/17: The Meadville Tribune (Pennsylvania), Letter: WHO: Urinalysis not suitable for predicting fluoride intake, by Alan T. Brown
October 2017: Public Health Ontario, Article Review on “Prenatal Fluoride Exposure and Cognitive Outcomes in Children at 4 an d 6 – 1 2 Years of Age in Mexico.
••••
See also:
• The Study (9-19-17)
• FAN Press Release (9-22-17)
• FAN Bulletin (9-21-17)
• Clinical Trial giving Fluoride Supplements to Pregnant Women (2015-19)
More to come
••••
This article (Fluoride Exposure In-Utero Linked To Lower IQ In Kids, New Study Says) was originally created and published by fluoridealert.org and is republished here under “Fair Use” (see disclaimer below) with attribution to author/website fluoridealert.org.
••••
Click on the image below to visit TLB Project on twitter …

Leave a Reply